新植物资讯
「发酵」赋能,唤醒黄芪倍增营养力——FIC广州展海斯夫邀您共鉴
2025-11-25 09:38 来源:新营养
文/海斯夫生物
图源:摄图网
01
黄芪的现代“困境”
黄芪,为豆科多年生草本,以干燥根入药。传统中医理论认为,黄芪的核心益处是“补气固表”,用于气虚乏力、虚汗盗汗、易感外邪等症。这里的“气”是一个抽象的功能概念,其部分内涵与现代医学中“免疫力”高度重合。黄芪多糖作为黄芪最主要的生物活性成分,正是实现“从补气到支持免疫”这一转化的现代科学阐释使其具有强大的免疫调节、抗氧化和抗疲劳等功能[1]。国家卫生健康委于2023年第9号公告批准通过关于党参、黄芪等9种新增按照传统既是食品又是中药材的物质公告,也为其带来了更广阔的应用空间。
图源:中华人民共和国卫健委
尽管黄芪多糖是黄芪的核心成分,但由于人体肠道缺乏直接水解这类复杂多糖的消化酶,传统提取方式获得的大分子黄芪多糖难以穿越肠道上皮细胞,导致其吸收效率极低,绝大多数无法进入血液循环,这是造成其生物利用度不高的关键原因。
02
破局——中药发酵
正是这种难以被直接吸收的特性,使黄芪多糖主要滞留于肠道内。目前的主流理论认为,黄芪多糖更像是一种特殊的“益生元”,其作用并非依赖于“被吸收”,而是通过“被发酵”。它作为肠道共生微生物的底物,被有益菌群分解代谢,从而提升生物利用度[2]。
微生物中药发酵是中国传统医药的“智慧结晶”——古人利用自然微生物与中药材的相互作用,实现“减毒增效、改变药性”的炮制目的。这一过程的本质是“微生物代谢与中药成分的协同作用”,区别于传统的物理炮制(如炒制、煅烧)或化学炮制(如醋炙、酒炙),具有反应温和、定向性强、产物多样三大优势。
03
微生物发酵,提升的不止“吸收”
发酵过程犹如一场精密的“预消化”。特定的益生菌株会分泌酶,将难以吸收的大分子黄芪多糖精准“切割”成一系列小分子量的多糖片段。这一转变最直观的益处是显著提高了吸收率,使其活性成分能更高效地进入体循环。
然而,发酵带来的蜕变远不止于此。研究表明,这些经生物发酵后产生的小片段黄芪多糖,才是激活免疫应答的“信号”。相较于原始的大分子,它们具有更优的免疫识别位点和生物活性,能更精准地调节巨噬细胞、T淋巴细胞等关键免疫细胞的功能,从而在调节机体免疫平衡、增强防御能力方面展现出卓越的效益[3]。多项同类研究明确指出,低分子量多糖通常具有更强的免疫活性。例如:低分子量人参多糖(10.2 kDa)激活巨噬细胞的能力优于其高分子量对应物(21.3 kDa)[4];低分子量甘草多糖(GP)能正向影响肠道免疫调节功能[5];而其他具有免疫活性的蘑菇、葛根等多糖,其有效分子量也多在特定区间内[6]。这些研究共同揭示了低分子量在优化多糖免疫调节效能中的核心作用。
04
Fermtek™发酵黄芪粉
道地黄芪的筛选
针对上述吸收瓶颈,海斯夫针对性开发了发酵黄芪粉,为确保发酵效果而率先锁定了高品质的发酵底物。通过对各道地产区的黄芪进行比对,最终选定黄芪多糖(APS)含量更高的山西浑源黄芪作为发酵专用原料。
图:不同产地粗制多糖的测定
优质菌株培养
何种益生菌是转化黄芪多糖的最佳菌株?海斯夫在实验室中展开了一系列多菌株的系统性筛选。
图:HSF筛选菌株流程图
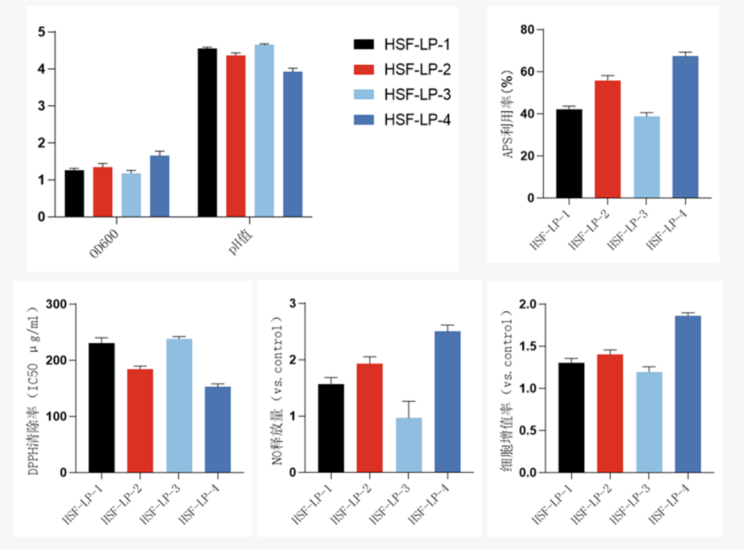
研发团队通过对实验室保存的菌株进行自培养,构建选择性压力模型,进而评估各菌株在黄芪发酵过程中的效益,筛选出最适合发酵黄芪的益生菌。通过前期调研与大量实验,横向对比了多种益生菌。结果表明,经植物乳植杆菌发酵的黄芪中,可释放出更多的多糖类物质。
图 不同发酵菌株对黄芪发酵基础物质的影响
植物乳植杆菌是一个综合的庞大体系,海斯夫通过96孔板高通量培养技术,对大量菌株进行快速评估初级筛选,通过检测其生长、产酸、耐酸等多项指标,获得了每个候选菌株的综合性能矩阵,筛除了一批综合性能排名靠后的菌株;对通过筛选的菌株进行次级筛选,针对其功能性与安全性进行深度评估;有4-8株纳入候选,最终基于加权评分法甄选出4株菌株用于与底物的共培养,科学地遴选出了综合性能最优的菌株。
图 HSF自培养LP.候选菌株生长性能对比
分子量前后变化
为验证发酵后多糖片段被有效切割,对发酵前后的黄芪多糖进行分子量测定。结果表明,发酵处理后,黄芪多糖的分子量分布发生显著变化。分析显示,其重均分子量(Mw)与数均分子量(Mn)均明显下降。尤为重要的是,高分子量区段的多糖组分占比显著降低,证实发酵过程中益生菌有效降解了部分大分子多糖。
图:黄芪多糖发酵前后分子量对比
生物安全性
该菌株是经国家卫生部批准,列于《可用于食品的菌种名单》中,其安全性及其附加价值已得到长期研究与历史消费实践的充分验证,且无对人体有害的次生代谢物,被公认为安全可靠的微生物。
05
总 结
基于海斯夫科研团队十年研发经验,企业以道地黄芪为源,通过现代生物技术精准筛选优势菌株,经智能发酵工艺转化,成功开发出可用于免疫支持场景的发酵黄芪产品,为秋冬季节的健康防护提供天然高效的解决方案。
Fermtek®系列产品
海斯夫研发团队在长达十年的发展与合作中深厚了生产菌株选育策略,高产菌种选育及优化的技术,积淀了发酵技术经验和生产经验,拓宽了产品应用的方向及应用技术,团队借助现代生物技术、信息技术与工程装备,在发酵的研究方法和发酵流程实现多环节的优化重构,在产品技术指标和应用方向上实现完整落地及产业化生产。
海斯夫始终以”挑战者“的姿态,凭借不断的研发和商业模式的创新,在与世界一流企业的竞争中胜出,努力成为一个真正对人类健康做出贡献的全球性企业。
2025年11月26-28日,FIC广州展将于中国进出口商品交易会展馆举行。海斯夫在B区10F51展位,诚邀您的莅临,探索合作新机遇。

关于海斯夫生物
海斯夫作为一家以研发和创新为立足之本的高科技生物技术企业,集成和优化了油脂酯化和分子蒸馏技术、高效分离技术、功能因子微胶囊技术、定向微生物发酵技术,为全球营养与健康领域的客户提供系统性的产品解决方案。Innovation serves a better life(创新铸就美好生活)是海斯夫在创新道路上孜孜不倦的追求。公司主营业务包括植物甾醇/酯、天然维生素E、功能性油脂微囊化、粉体制粒包衣、微生物发酵等多个系列产品的研发、生产和销售。产品可广泛应用于食用油脂、医药、保健食品、乳制品、膳食营养补充剂、个人护理用品和动物营养等领域。
公司致力于走科技创新、技术先行的道路,拥有多名在生物和食品领域具备较强自主研发和产业化的博士后、研究生技术团队,在多项前沿生物技术、生命科学领域拥有核心的专利技术。同时,公司与中国农业大学、江南大学、华南理工大学、暨南大学和东北农业大学等在全国生物、食品领域知名的院校开展学研合作,走出一条科研、开发和市场三引擎驱动、竞争优势突出的经营模式。
网 址:cn.healthfulbio.com
电 话:029-85820130
邮 箱 :sales@healthfulbio.com
地 址 : 西安市航天基地航拓路汇航广场A座803、804室
欢迎联系海斯夫
营销中心:15083539830(同微信)
参考文献
[1]刘欢,刘红波,朱华旭,等.黄芪有效组分制备的研究进展[J/OL].西北药学杂志,1-39[2025-10-23].https://link.cnki.net/urlid/61.1108.R.20251020.1656.002
[2]马玉俊,李翔,李菁,等.中药微生物发酵及其研究进展[J].西藏农业科技,2024,46(01):107-112.DOI:CNKI:SUN:XZNY.0.2024-01-027.。
[3]冯仕红.体外模拟消化及酵解对黄芪多糖APS-Ⅱ结构和免疫活性影响的研究[D].山西大学,2024.DOI:10.27284/d.cnki.gsxiu.2024.000825
[4] Zhang X, Liu Z, Zhong C, et al. Structure characteristics and immunomodulatory activities of a polysaccharide RGRP-1b from Radix ginseng Rubra[J]. Int J Biol Macromol, 2021, 189: 980-992.
[5] Song W, Wang Y, Li G, et al. Modulating the gut microbiota is involved in the effect of low-molecular-weight Glycyrrhiza polysaccharide on immune function[J]. Gut Microbes, 2023, 15(2): 2276814.
[6] Wang Y, Tian Y, Shao J, et al. Macrophage immunomodulatory activity of the polysaccharide isolated from Collybia radicata mushroom[J]. Int J Biol Macromol, 2018, 108: 300-306.
END
>>>声明
*新营养(xinyingyang.com)致力于秉承循征营养学的理念,重度垂直人类营养,为营养健康产业从业者架起沟通的桥梁,标明原创的文章权限为本网所有,如需转载请得到书面申请并在文章开头注明出处。
*文章中会充列示参考文献,但因商业利益相关造成的不客观可能依然存在,欢迎读者多提出批评意见和建议。
*文章中涉及功效信息内容均有对应的数据支持,囿于篇幅限制无法全部刊登,如需数据来源,可向新营养(xinyingyang.com)或文章中涉及到的企业索取。文章图片部分来源于网络,如有侵权请告知删除。
*此公众号中全部内容仅为创新案例的一般性参考。读者不应在缺乏具体的专业建议的情况下,擅自根据文章内容中的任何信息采取行动。此公众号运营方将不对任何因采用文章内容而导致的损失负责。
*文章中涉及的产品、成分、功效仅代表相关企业的观点,新营养仅基于信息传递目的进行转述,并不代表我们绝对认同相关宣称,也不支持任何产品的营销和销售。
*文章中插入的图片不涉及到商业行为,仅限交流,并标明了来源出处,尊重原创图片设计。
新营养留言互动
您的电话不会被公开。 必填项已用 * 标注
相关热词搜索:
上一篇:LEMOPONE®柠檬香桃叶超微粉--提升GLP-1水平,守护呼吸道健康,安神助眠的“植物考拉”
下一篇:跨境贸易,微量元素集团以科学营养新品开启秋冬系统滋养新纪元
新营养峰会/活动
新营养热门资讯
共晶技术:让营养素步入埃米时代
XINGRAPHIC · 09-11
11月6-7日广州新营养趋势大会!30+演讲、2
风信社 · 09-08
当“造物”成为可能,人类营养健康产业将迎
XINGRAPHIC · 07-07
新营养周报 | 农夫山泉上新蓝靛果混合汁
数据 / 观察 · 01-06














































































































