特殊人群资讯
眼睛的“血管危机”,镁摄入或许与视网膜静脉阻塞存在正相关
2025-11-25 09:23 来源:新营养
图源:摄图网
道路塞车,是再常见不过的事情,然而如果我们的血管“塞车”,那就出大问题了!
“塞车”发生在脑部血管,可能引发脑梗;“塞车”发生在眼部视网膜血管,可能引发视网膜静脉阻塞。
01
眼睛里的“堵车” 危机,视网膜静脉阻塞
视网膜静脉阻塞,俗称“眼中风”,是一种眼底视网膜血管异常性疾病。视网膜静脉阻塞是指视网膜静脉血管发生阻塞,导致血液回流受阻,引起视网膜出血、水肿、缺血。主要表现为视力下降、视物模糊、眼前出现黑影,严重时可能会导致视网膜缺血、变性、甚至坏死,进而导致失明[1]。因此,患者越早发现、越早干预,视网膜静脉阻塞对眼睛造成永久性损伤的风险越小。
视网膜静脉阻塞(RVO)是中老年人较常见的导致视力丧失的眼健康问题之一,但由于现代社会工作和生活节奏加快,视网膜静脉阻塞(RVO)在青年人群中也并不少见,熬夜、精神紧张、工作繁忙等都会导致它的发生。RVO的患病率在视网膜血管疾病患者中仅次于糖尿病视网膜病变,约为0.6%至1.6%,年发病率为0.04%至0.16%。该病的发病群体主要集中在60至70岁之间,虽然40岁以下较为少见,但随着年龄增长,发病率逐渐增加。
全球约有300万中央视网膜静脉阻塞(CRVO)患者,1200万分支视网膜静脉阻塞(BRVO)患者,总数约1500万[2],显示出其广泛的影响。尽管年龄是RVO的一个主要风险因素,但性别、种族等因素与发病率并无显著关联。因此,除了老龄化,现代生活方式的变化也加速了RVO的发生,尤其在年轻人群中。了解RVO的风险因素并采取积极的预防措施,对于降低视力丧失的风险至关重要。
02
镁与健康益处:从心血管到眼部的多重作用
镁(Mg)作为一种必需的膳食矿物质,参与了众多关键的生理过程,涵盖了从细胞功能到全身健康的广泛作用。它在血压调节[3]、血糖平衡[4]和神经系统功能[5]等方面都扮演着重要角色。镁的作用不仅体现在维持正常的心血管功能,还通过调节血管张力、促进血管舒张等机制,帮助维持血液流动的顺畅。尤其是在血管健康方面,镁有助于维持血管壁的弹性和灵活性,从而支持良好的血液循环和心血管系统的平衡[6,7]。
尽管已有大量研究关注镁在调节心血管健康中的作用,但镁摄入量与视网膜静脉阻塞(RVO)之间的具体关系尚未得到充分的研究。由于镁在血管功能中的关键作用,是否它也能对眼部血管,尤其是视网膜的血流产生影响,仍是一个值得进一步探讨的问题。尽管这一领域的研究尚不完备,但镁在血管健康中的潜力让人们期待它在眼部健康方面可能带来的益处。
03
Nutrients:充足镁摄入与视网膜静脉阻塞风险降低的关联
为了进一步探讨镁摄入与视网膜静脉阻塞(RVO)患病率之间的关系,一项基于韩国国家健康与营养调查(KNHANES)的研究进行了深入分析[8]。该研究纳入了2017—2021年期间年龄≥19岁的16,358名参与者,旨在评估镁摄入量与RVO患病率之间的关联,并分析其他临床因素与镁摄入之间的交互作用。
根据每日镁摄入量,研究人员将参与者分为三组:镁摄入不足组(<120 mg)、中等摄入组(男性:120—300 mg;女性:120—400 mg)和摄入充足组(男性:≥300 mg;女性:≥400 mg)。结果表明,RVO的患病率为0.7%。与非RVO组相比,RVO组的参与者通常年龄较大,且较少饮酒,同时高血压和慢性肾脏病的患病率较高,此外,RVO组的纤维、铁、钙、维生素E和镁的摄入量普遍较低。
每日镁摄入量分层的视网膜静脉阻塞风险
模型1:未调整;模型2:根据年龄、性别和身体质量指数进行调整;模型3:对模型2的协变量加上吸烟、饮酒和共病进行调整;模型4:根据模型3协变量加上每日营养摄入进行调整
经过完全调整后,研究发现镁摄入充足与RVO风险降低之间存在显著关联。具体来说,镁摄入充足的人群RVO风险降低了64%。这一结果在19—59岁的人群中尤为显著,在患有高血压的人群中以及无青光眼的人群中更为明显。这表明,充足的镁摄入可能是预防RVO的有效措施,尤其在年轻人群和高血压患者中具有更大的保护作用。
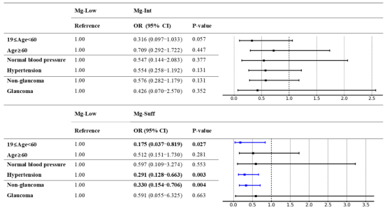
与镁摄入量相关的视网膜静脉闭塞的比值比森林图,
按年龄、是否患有高血压和青光眼进行分层
结果表明,充足的镁摄入与显著降低视网膜静脉闭塞(RVO)风险之间存在关联。这一发现凸显了膳食中充足镁摄入的潜力,尤其是在60岁以下的成年人群体中,特别是那些患有高血压且未患青光眼的个体中。镁作为一种重要的矿物质,在维护眼部健康和血管功能方面可能发挥着关键作用。未来的前瞻性研究应进一步探索镁摄入与RVO风险之间的关系,并深入研究其可能的作用机制,以增进我们对这一领域的理解。
04
小结
视网膜静脉阻塞(RVO)是一种常见的眼部疾病,主要影响中老年人,但随着现代生活方式的改变,年轻人群也逐渐受到影响。充足的镁摄入与RVO风险显著降低之间存在关联。研究表明,尤其是在60岁以下的成年人、高血压患者和无青光眼的个体中,足够的镁摄入可能有助于降低RVO的发生风险。
这项基于韩国国家健康与营养调查的数据分析揭示了镁在眼部健康中的潜力。尽管目前的研究结果令人鼓舞,但仍需进一步的前瞻性研究来验证镁摄入对RVO风险的影响,并深入探讨其作用机制,从而为未来的健康预防措施提供更强有力的支持。
参考文献:
[1] 顾冉冉,赵博军.视网膜静脉阻塞中西医治疗进展[J].中西医结合研究,2021,13(03):196-199+202
[2]MCALLISTER I L. Central retinal vein occlusion: a review [J]. Clin Exp Ophthalmol, 2012, 40(1): 48-58.
[3]Dominguez, L.; Veronese, N.; Barbagallo, M. Magnesium and Hypertension in Old Age. Nutrients 2020, 13, 139.
[4]Pelczynska, M.; Moszak, M.; Bogdanski, P. The Role of Magnesium in the Pathogenesis of Metabolic Disorders. Nutrients 2022, 14, 1714.
[5]Kozin, S.; Kravtsov, A.; Ivashchenko, L.; Dotsenko, V.; Vasilyeva, L.; Vasilyev, A.; Tekutskaya, E.; Aksenov, N.; Baryshev, M.; Dorohova, A.; et al. Study of the Magnesium Comenate Structure, Its Neuroprotective and Stress-Protective Activity. Int. J. Mol. Sci. 2023, 24, 8046.
[6]Altura, B.M.; Altura, B.T. Magnesium, electrolyte transport and coronary vascular tone. Drugs 1984, 28 (Suppl. 1), 120–142.
[7]Altura, B.M.; Altura, B.T. Microcirculatory actions and uses of naturally-occurring (magnesium) and novel synthetic calcium channel blockers. Microcirc. Endothel. Lymphat. 1984, 1, 185–220.
[8]Jiwoo Kim.;Min Kim.; et al.Sufficient Magnesium Intake Reduces Retinal Vein Occlusion Risk: National Health and Nutrition Examination Survey Analysis.Nutrients 2025, 17(7), 1285;
END
>>>声明
*新营养(xinyingyang.com)致力于秉承循征营养学的理念,重度垂直人类营养,为营养健康产业从业者架起沟通的桥梁,标明原创的文章权限为本网所有,如需转载请得到书面申请并在文章开头注明出处。
*文章中会充列示参考文献,但因商业利益相关造成的不客观可能依然存在,欢迎读者多提出批评意见和建议。
*文章中涉及功效信息内容均有对应的数据支持,囿于篇幅限制无法全部刊登,如需数据来源,可向新营养(xinyingyang.com)或文章中涉及到的企业索取。文章图片部分来源于网络,如有侵权请告知删除。
*此公众号中全部内容仅为创新案例的一般性参考。读者不应在缺乏具体的专业建议的情况下,擅自根据文章内容中的任何信息采取行动。此公众号运营方将不对任何因采用文章内容而导致的损失负责。
*文章中涉及的产品、成分、功效仅代表相关企业的观点,新营养仅基于信息传递目的进行转述,并不代表我们绝对认同相关宣称,也不支持任何产品的营销和销售。
*文章中插入的图片不涉及到商业行为,仅限交流,并标明了来源出处,尊重原创图片设计。
新营养留言互动
您的电话不会被公开。 必填项已用 * 标注
相关热词搜索:
上一篇:谁在给气血赛道造爆款?精准肽BIOVVYP被我们扒出来了!
下一篇:两位数增长的“液体钙”市场,如何凭借仙乐健康“乳液钙”2.0系列再创新高
新营养峰会/活动
新营养热门资讯
共晶技术:让营养素步入埃米时代
XINGRAPHIC · 09-11
11月6-7日广州新营养趋势大会!30+演讲、2
风信社 · 09-08
当“造物”成为可能,人类营养健康产业将迎
XINGRAPHIC · 07-07
新营养周报 | 农夫山泉上新蓝靛果混合汁
数据 / 观察 · 01-06














































































































