益智资讯
权威定调!L-α-甘磷酸胆碱(Phoslip®GPC)被列为脑营养核心成分
2025-10-11 10:06 来源:新营养

2025年9月21日至23日,中国营养学会在北京成功举办了第十七届全国营养科学大会。会上,中国疾病预防控制中心营养与健康研究所率先发布了《胆碱与健康白皮书》(以下简称《白皮书》)——系统阐述膳食胆碱与健康关系的权威科学报告,这是国民脑健康领域的里程碑事件,标志着国民脑健康隐形危机将逐步得到解决。
01
危险来临:胆碱缺乏影响生命全周期
《白皮书》数据揭露,我国96%的成人胆碱摄入严重不足(日均179mg),这一缺口构成贯穿全生命周期的健康威胁:从影响胎儿神经与儿童认知发育,到增加成年期脂肪肝、肌肉问题及中老年认知衰退与痴呆风险,凸显问题的紧迫性。
《白皮书》基于CHNS三十年的追踪研究证实:日均摄入胆碱超过285mg或日均摄入L-α-甘磷酸胆碱超过16mg,可显著降低中老年认知衰退风险。这一精准剂量关系正推动脑健康管理从“泛补充”迈向“精准干预”。
图示:膳食L-α-甘磷酸胆碱与整体认知功能评分的纵向关联
02
重大突破:L-α-甘磷酸胆碱(Phoslip®GPC)获国家认证
随着L-α-甘磷酸胆碱的营养价值获得公认,深耕该领域的JYOUKI金久奇牵头完成了其作为新食品原料的申报,并于2024年3月获得国家卫健委正式批准。此举使其Phoslip®GPC产品成功实现从实验室研发到市场应用的跨越。
图源:JYOUKI金久奇
新食品原料的认证审核极为严格。为确保L-α-甘磷酸胆碱(Phoslip®GPC)的食用安全,申报方委托中国疾控中心完成了全套毒理学安全性评价。结果表明,Phoslip®GPC属实际无毒级,且无致畸性与遗传毒性。此次获批同步确立了L-α-甘磷酸胆碱(Phoslip®GPC)的国家标准,为其安全应用提供了坚实的法规与科学依据。
自2008年至2025年7月,我国仅批准了160个新食品原料。这一稀缺性,加之国家标准的建立,充分印证了Phoslip®GPC在脑健康领域的重要价值与市场潜力。
03
临床验证:L-α-甘磷酸胆碱在改善认知、情绪、运动健康领域安全有效
认知守护“新利器”
在改善认知领域,一项2023年发布于《J Alzheimers Dis》杂志的权威Meta分析[1],为L-α-甘磷酸胆碱的认知改善作用提供了有力证据:分析涵盖8项研究、861例来自多国的受试者,结果显示,服用L-α-甘磷酸胆碱的阿尔茨海默病群体认知功能获得显著改善(MMSE评分提升3.5分,ADAS-Cog评分降低5.76分,p<0.01)。
图示:单用L-α-甘磷酸胆碱或与多奈哌齐联用改善AD患者MMSE评分
图示:单用L-α-甘磷酸胆碱或与多奈哌齐联用改善AD患者ADAS-Cog评分
情绪调节“好帮手”
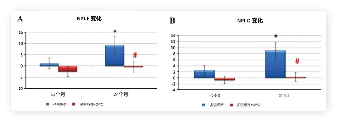
在情绪调节领域,研究表明[2],L-α-甘磷酸胆碱联合多奈哌齐治疗阿尔茨海默病,在改善患者情绪、减轻照料者压力方面显著优于单用多奈哌齐。这项为期24个月干预及43个月观察的研究,为阿尔茨海默病的综合干预提供了新思路。
注:A:NPI-F,情绪障碍的严重程度和发生频率;
B:NPI-D,情绪障碍引起的照料者压力和负担
∗与基线比p<0.05. #与对照组比p<0.05
肌肉活力“强引擎”
在运动健康领域,2023年发表于《J Int Soc Sports Nutr》的一项临床研究证实[3],每日补充300mg L-α-甘磷酸胆碱可有效提升运动表现。研究显示,连续补充7天后,受试者在高强度耐力骑行中的力竭时间显著延长,20公里计时赛的峰值功率也明显提升,表明该成分具有延缓疲劳、增强运动能力的作用。
A:HIEC测试疲劳时间;B:TT测试峰值功率
04
L-α-甘磷酸胆碱(Phoslip®GPC)国际产业应用
自1990年意大利首次批准L-α-甘磷酸胆碱作为药品以来,波兰、韩国、俄罗斯等国也相继批准其用于治疗记忆功能障碍。2022年,全球GPC市场规模达8.2亿美元,预计2030年将增至16.1亿美元,年复合增长率达 9.2%,显示巨大市场潜力。
L-α-甘磷酸胆碱在国际上已广泛应用于药品、保健食品和功能性食品等领域。药品端的临床研究显示,其对原发性和继发性认知障碍、阿尔茨海默症等问题具有积极健康益处。
产品图仅供参考,不涉及销售
图源:Аптека Апрель
在功能性食品领域,L-α-甘磷酸胆碱已被用于增强记忆力、提升专注力、调节情绪,并在儿童发育、学习效能及运动表现等方面发挥积极作用,目前全球已有超500款相关应用产品。
产品图仅供参考,不涉及销售
图源:BlueToad
产品图仅供参考,不涉及销售
图源:WOKE AF
国内市场应用中,国内能量饮料巨头"东鹏饮料"推出添加L-α-甘磷酸胆碱的无糖型能量饮料,体现了其实际应用潜力,为功能性食品开发提供新思路,展现出在健康产业中的广阔前景。
产品图仅供参考,不涉及销售
图源:东鹏特饮
05
未来已来:Phoslip®GPC打造科学营养新时代
脑健康产业迎来关键发展期,Phoslip®GPC的突破标志着我国在L-α-甘磷酸胆碱领域实现从“跟跑”到“领跑”的跨越。JYOUKI金久奇作为国家高新技术企业,率先取得“国际原料药”与“新食品原料”双资质,构建起核心竞争壁垒。
在应用层面,Phoslip®GPC正从临床干预延伸至功能食品、日常营养等全生命周期场景,支持国内产品创新,响应全球品质需求。推动中国脑健康产业从“参与者”向“标准定义者”跃迁,开启精准化、普惠化新阶段。
完整《胆碱与健康白皮书》请联系
金久奇刘先生13898801910(同微信)
金久奇王女士18741309492(同微信)
参考文献:
[1]Sagaro GG,Traini E,Amenta F.Journal of Alzheimer’s Disease,2023,92(1):59-70.
[2]Carotenuto A,Rea R,Traini E,et al.J Alzheimers Dis.2017;56(2):805-815.
[3]Harrington RN.J Int Soc Sports Nutr.2023 Dec;20(1):2214112.
END
>>>声明
*新营养(xinyingyang.com)致力于秉承循征营养学的理念,重度垂直人类营养,为营养健康产业从业者架起沟通的桥梁,标明原创的文章权限为本网所有,如需转载请得到书面申请并在文章开头注明出处。
*文章中会充列示参考文献,但因商业利益相关造成的不客观可能依然存在,欢迎读者多提出批评意见和建议。
*文章中涉及功效信息内容均有对应的数据支持,囿于篇幅限制无法全部刊登,如需数据来源,可向新营养(xinyingyang.com)或文章中涉及到的企业索取。文章图片部分来源于网络,如有侵权请告知删除。
*此公众号中全部内容仅为创新案例的一般性参考。读者不应在缺乏具体的专业建议的情况下,擅自根据文章内容中的任何信息采取行动。此公众号运营方将不对任何因采用文章内容而导致的损失负责。
*文章中涉及的产品、成分、功效仅代表相关企业的观点,新营养仅基于信息传递目的进行转述,并不代表我们绝对认同相关宣称,也不支持任何产品的营销和销售。
*文章中插入的图片不涉及到商业行为,仅限交流,并标明了来源出处,尊重原创图片设计。
新营养留言互动
您的电话不会被公开。 必填项已用 * 标注
相关热词搜索:
上一篇:脑力续航新密码:「醒脑因子」核桃低聚肽Protygold® ——身心双 “脑” 健康的正向研究发布,多国专利护航
下一篇:婴童DHA如何突出重围?配方、剂型两手抓,轻松实现产品迭代
新营养峰会/活动
新营养热门资讯
共晶技术:让营养素步入埃米时代
XINGRAPHIC · 09-11
11月6-7日广州新营养趋势大会!30+演讲、2
风信社 · 09-08
当“造物”成为可能,人类营养健康产业将迎
XINGRAPHIC · 07-07
新营养周报 | 农夫山泉上新蓝靛果混合汁
数据 / 观察 · 01-06














































































































