特殊人群资讯
Beneficial Microbes:解决健康“男”题或可从微生态菌群开始
2023-07-27 09:14 来源:新营养

图源:艾地盟蔚蓝生物
2023年年初,#多省市人类精子库倡议捐精#频上热搜,其中,据春城晚报曾经报道的一则热搜新闻,云南省人类精子库2019年运行,在当时接待的267位志愿者中,合格率仅为19% ,不足20%,当代男性身体状况堪忧。“他健康”越发成为一个备受关注的领域,越来越受到重视。
1. 需求旺潜力足,男性健康消费加快提质升级
伴随着生活节奏的加快和工作压力的增大,男性健康问题频发且有年轻化趋势,逐渐成为社会关注的焦点。男性对于健康的关注度和需求也越来越高,催生了男性健康市场的快速增长。

图源:艾地盟蔚蓝生物
魔镜市场情报发布的《2022年的男性医药保健市场分析报告》显示,近几年男性医药保健市场呈现井喷式的增长,2019年市场规模为326亿元,到2020年第四季度,我国男性医药保健市场线上销售额突破十亿大关,达12.09亿元;2022年前三季度,我国男性医药保健销售额达42.9亿元,市场上升发展空间大。

数据来源:魔镜市场情报
(备注:保健品包含“蓝帽”保健食品品和健康食品;药品包含处方药和OTC)
《2022年中国消费者健康洞察报告》之“2021-2022男性健康大数据调研”报告也明确指出,目前我国“超四成”男性存在健康问题和困扰,其中性健康问题与体力差、精力差并称为“当代中国男性的三大困扰”。与之相关联的生育健康也成为社会问题,一项临床研究数据显示:工业化国家育龄夫妇不育症的发病率已从20世纪60年代的7%~8%,升至近年来15%~20%,我国男性不育发病率达10%~12%[1],男性的生育力正面临严峻的考验。
2. 从肠道微生态窥见男性生育健康秘密
近些年来,随着生命科学的发展,肠道菌群对人体的影响愈发得到重视。正常的肠道菌群在维持机体健康上发挥着重要作用,但一些内外因素可对其产生影响,破坏其相对平衡,进而导致一系列疾病。越来越多的研究表明,肠道菌群与生殖系统疾病的发生发展有着密切联系,除常见的女性生殖系统疾病,男性的生殖系统疾病也逐渐引起研究者的重视。
目前有研究表明,男性的生殖系统问题与肠道菌群相关。Dai等人发现肠内蛋白质营养和生殖之间有很强的相关性[2],氨基酸除了作为饮食中的主要营养素外,还是调节从精子发生到卵母细胞受精再到胚胎植入等多种生理过程的信号分子;Li等[3]的研究证实了肠道微生物菌群与II型糖尿病勃起功能障碍(T2 DED)的关系;Javurek等人则证明了高脂饮食可以通过肠道途径改变精液微生物群,进而影响精液的质量[4]。
以上几项研究均表明男性生殖系统问题与肠道微生态的平衡或有着密切的联系。由于肠道菌群与疾病有关的细菌组成略有不同,因此在临床干预过程中,更应关注患者的肠道微生物表现。后续仍需深入探索肠道微生态这一方向,以期为生殖系统相关疾病的干预提供新的思路。
3. 重塑精液微生态,关注益生菌组合在男性健康领域的临床研究
为了让男性拥有最佳的生育机会,他们的身体需要能够产生适量的健康精子,而精液中也拥有自己的微生物群落,对精子形成也具有很大的影响。与肠道菌群相似,精液菌群也是由有益菌和有害菌组成的,适当补充有益菌或许对宿主健康有益。
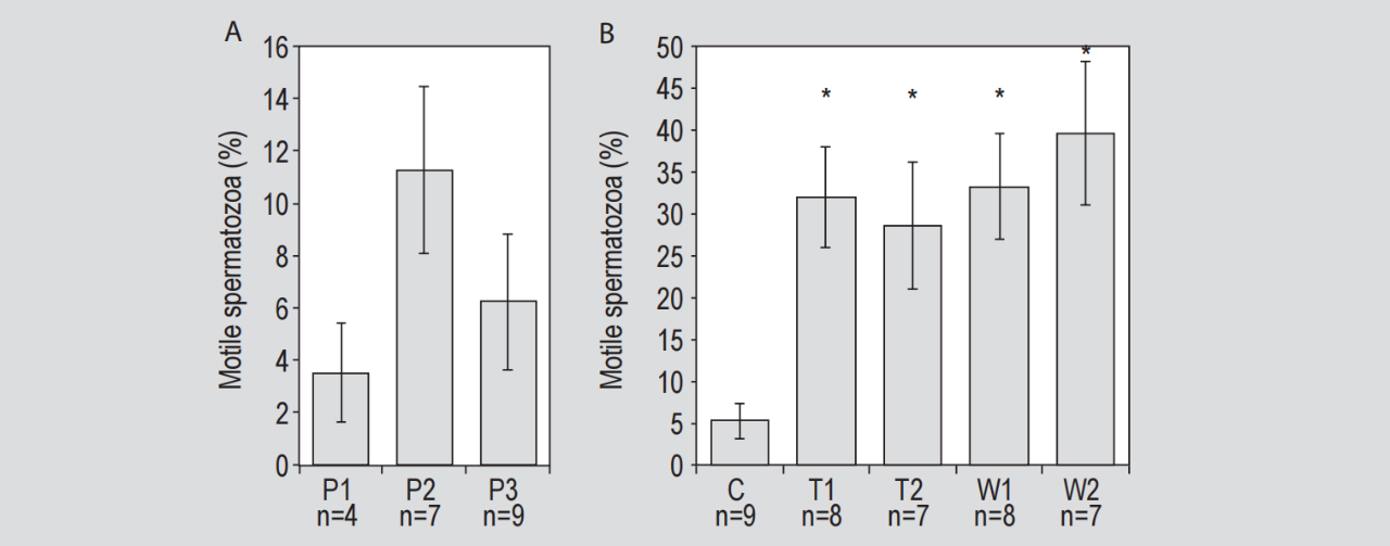
发表在Beneficial Microbes的一项研究[5],通过食用两种选定的抗氧化益生菌菌株(鼠李糖乳酪杆菌CECT8361和长双歧杆菌长亚种CECT7347,艾地盟蔚蓝生物旗下产品),并在三周和六周后分析其对精子质量参数的影响。研究筛选9名在相似饮食条件下没有接受任何药物治疗的弱精子症男性,食用前、食用期间(食用3和6周后)和食用益生菌后(食用结束后3和6周后),对单个精子样本的质量进行评估。结果显示,干预后精子活力显著提高(约6倍变化),食用益生菌后DNA片段统计学上减少(约1.2倍变化),细胞内H2O2水平降低(约3.5倍变化),细胞活力不受处理的影响。

A活动精子(%)在分析前活力评估中的变化
B活动精子(%)沿实验设计的变化

A实验设计中的平均DNA断裂指数(%)变化
B精子染色质结构分析(SCSA)衍生的细胞图
本研究为精子活力的显著改善和DNA片段化的减少提供了初步证据,即可以摄入益生菌来改善弱精子症男性的精子活力并减少DNA片段化和ROS(Reactive oxygen species,活性氧)水平。关于益生菌介导的男性精子活力提升的具体机制还需要进一步的研究和探索,已有动物实验的发表证明肠道有益菌群和生殖轴是息息相关的,通过提高肠道有益菌群的含量,是可以提高动物的繁殖力的[6],同时更多科学家在一步步证实益生菌的功能探索不仅在肠道,也在我们身体的方方面面。
4. 小结
生殖道菌群失衡会导致很多问题的发生。益生菌能够维持或者重建菌群平衡,可为恢复与维持正常菌群结构和数量提供新的干预手段。以男性健康为基础,艾地盟蔚蓝针对男性群体的需求,进一步丰富微生态细分市场布局,推出了专利的益生菌组合(专利号:EP 3241893A1)解决方案,以更专业的产品和服务赋能合作伙伴,实现互利共赢。
环顾市场,“他健康”兴起,男性健康消费市场将不断扩大,企业则需要灵活、务实的策略和行动计划,通过不断吸取市场经验和用户反馈,进一步提高产品和服务质量,才能够把握住时代的机遇,打造一个专属“他”的市场!
*本文仅为相关科学研究的客观介绍,不代表相关产品声称的批准。
关于艾地盟蔚蓝生物
艾地盟蔚蓝生物科技(山东)有限公司是Archer Daniels Midland Company((ADM)集团旗下企业)与蔚蓝生物(603739.SH)在中国设立的合资公司,双方各占注册资本的50%,专注于人用益生菌产品的生产和销售,合资公司致力于充分利用两家母公司的技术优势和产品资源,向客户提供完善的人用益生菌产品及服务,以满足中国和全球消费者对优质人用益生菌产品的需求。
目前旗下益生菌产品包括ADM西班牙工厂(Biopolis)和美国工厂的益生菌产品(BPL1™动物双歧杆菌乳亚种CECT8145, 长双歧杆菌长亚种CECT7347, 鼠李糖乳酪杆菌CNCM I-4036, 枯草芽孢杆菌DE111等),以及蔚蓝生物的微生态技术和产品(凝结魏茨曼氏菌VHProbi®C08,乳酸杆菌发酵溶胞产物等),双方还将在山东高密新建益生菌合资工厂,进一步扩大益生菌生产。

参考文献:
[1]男性生育健康已成社会问题,[654].医师报,2020-07-30(B7)
[2] Dai Z, Wu Z, Hang S, et al. Amino acid metabolism in intestinal bacteria and its potential implications for mammalian reproduction[J]. Mol Hum Reprod, 2015, 21(5): 389-409. DOI: 10.1093/molehr/gav003.
[3] Li H, Qi T, Huang ZS, et al. Relationship between gut microbiota and type 2 diabetic erectile dysfunction in Sprague-Dawley rats[J]. J Huazhong Univ Sci Tech Med Sci, 2017, 37(4): 523-530. DOI: 10.1007/s11596-017-1767-z.
[4] Javurek AB, Spollen WG, Johnson SA, et al. Consumption of a high-fat diet alters the seminal fluid and gut microbiomes in male mice[J]. Reprod Fertil Dev, 2017, 29(8): 1602-1612. DOI: 10.1071/RD16119.
[5] Valcarce DG , Genovés S, Riesco MF,et al.Probiotic administration improves sperm quality in asthenozoospermic human donors.March 2017 Beneficial Microbes.27 Mar 2017, 8(2):193-206.DOI: 10.3920/bm2016.0122
[6] Rescue of male fertility following faecal microbiota transplantation from alginate oligosaccharide-dosed mice. Gut, 2020 Dec 22; gutjnl-2020-323593.
>>>声明
*新营养(xinyingyang.com)致力于秉承循征营养学的理念,重度垂直人类营养,为广大健康原辅料供应商和消费者之间架起沟通的桥梁,标明原创的文章权限为本网所有,如需转载请得到书面申请并在文章开头注明出处。
*文章中会充列示参考文献,但因商业利益相关造成的不客观可能依然存在,欢迎读者多提出批评意见和建议。
*文章中涉及功效相关描述均有对应的数据支持,囿于篇幅限制无法全部刊登,如需数据来源,可向新营养(xinyingyang.com)或文章中涉及到的企业索取。文章图片部分来源于网络,如有侵权请告知删除。
*此公众号中全部内容仅为一般性参考。读者不应在缺乏具体的专业建议的情况下,擅自根据文章内容中的任何信息采取行动。此公众号运营方将不对任何因采用文章内容而导致的损失负责。
*文章中涉及的产品、成分、功效仅代表相关企业的观点,新营养仅基于信息传递目的进行转述,并不代表我们绝对认同相关宣称,也不支持任何产品的营销和销售。
*文章中插入的图片不涉及到商业行为,仅限交流,并标明了来源出处,尊重原创图片设计。
新营养留言互动
您的电话不会被公开。 必填项已用 * 标注
相关热词搜索:
上一篇:乐力携手女足张琳艳,高活性益生菌新品M-16V强势布局过敏赛道!
下一篇:从人口老龄化到健康老龄化,天然成分如何助力企业“跑赢”市场?
新营养峰会/活动
新营养热门资讯
共晶技术:让营养素步入埃米时代
XINGRAPHIC · 09-11
11月6-7日广州新营养趋势大会!30+演讲、2
风信社 · 09-08
当“造物”成为可能,人类营养健康产业将迎
XINGRAPHIC · 07-07
新营养周报 | 农夫山泉上新蓝靛果混合汁
数据 / 观察 · 01-06














































































































